近日,公司师生连续在国际农业综合领域TOP期刊《Computers and Electronics in Agriculture》发表5项农业电气化与自动化学科研究成果,伟德国际1946为第一完成单位。
武佩教授作为通讯作者、博士研究生王奎为论文第一作者,发表题为“Identification and classification for sheep foraging behavior based on acoustic signal and deep learning(基于声信号和深度学习的羊只采食行为识别和分类)”“Identification of grass growth conditions based on sheep grazing acoustic signals(基于羊只采食声信号的牧草生长状况识别)”“Feeding intake estimation in sheep based on ingestive chewing sounds(基于采食声信号的羊只采食量估测)”3项研究成果,基于放牧羊只在采食、咀嚼等过程中发出的声信号,挖掘和识别出羊只牧食行为状态、采食牧草状况和进食量等信息,对于定量地评价家畜对草场的利用、研究“家畜—草地”关系,以及评价羊只健康状况等具有显著的应用潜力,为实现数字畜牧业奠定了基础。该3项研究成果由国家自然科学基金(3180666)和内蒙古自治区“草原英才”产业创新人才团队项目资助。
张永教授作为通讯作者、博士研究生翁智为论文第一作者,发表题为“Cattle face recognition based on a Two-Branch convolutional neural network(基于双分支卷积神经网络的牛面部识别)”的研究成果。基于牛只(包括荷斯坦奶牛和西门塔尔牛)生产生活过程中的多角度面部数据,利用卷积神经网络充分提取牛只面部特征信息,并同牛只个体身份之间建立可靠的关联关系。对于规模化牧场的智能化养殖、智慧畜牧的实际应用,以及结合表型数据实现动物个体识别的研究均有显著的应用潜力和实际意义,为实现畜牧业的数字化管理奠定了基础。该项研究成果由国家自然科学基金(61966026)和内蒙古自热科学基金(2020MS06015,2021MS06014)项目资助。
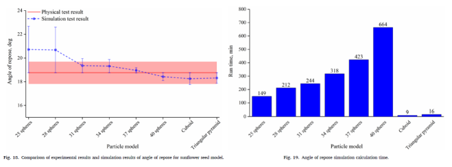
郁志宏教授作为通讯作者、博士研究生王帅为论文第一作者,发表题为“Study on the modeling method of sunflower seed particles based on thediscrete element method(基于离散元法的葵花籽粒建模方法研究)”的研究成果,提出了葵花籽粒离散元颗粒的多球面建模方法和多面体建模方法,平衡了离散元仿真准确性和快速性的矛盾,为葵花籽粒在播种、收获、清选等过程中开展离散元仿真分析提供了重要基础。该项研究成果由国家自然科学基金(51865047,51365013)项目资助。


文章1


文章2


文章3



文章4




文章5